

Решения в области водной среды
для людей и планеты



Что такое декантерная центрифуга?
Это экологическая колонка, предоставленная компанией AAK. В ней рассматриваются различные термины и понятия, которые легко забываются даже теми, кто отвечает за экологические объекты, а также даются базовые знания по экологической инженерии для широкой общественности.
Как отечественный пионер центробежных дегидраторов и единственная компания во Вьетнаме, разработавшая свои собственные центробежные дегидраторы, мы хотели бы прояснить некоторые запутанные термины в этой первой части.
Давайте начнем, а?
Центрифугирование, центробежное обезвоживание, центробежное концентрирование, что за чертовщина?
Является ли центрифуга понятием высшего уровня, и если да, то по каким критериям классифицируются дегидраторы и концентраторы?
Для начала нам нужно разобраться со словом "центробежный".
С точки зрения физики, центробежная сила - это сила во вращающейся системе, которая равна по величине и противоположна по направлению ‘настоящей" центростремительной силе. Однако между ними нет зависимости "действие-реакция". Самый простой способ понять это - вспомнить стиральную машину, которая использует центробежную силу для обезвоживания воды за счет вращательного движения.
Суспензия твердого вещества и жидкости Суспензия твердых веществ. 1 и 2 эквивалентны.
Твердое-жидкое
Жидкость-жидкость
③ Твердые газы
④ Жидкость-газ
⑤ Газ-газ
Центрифуги представляют собой наиболее полную концепцию и подразделяются на концентраторы для осаждения и дегидраторы для обезвоживания, а также на ротационные и непрерывные типы в зависимости от механизма работы, и далее классифицируются на сепараторы пластинчатого типа, корзинного типа, прямого прохода и декантерного типа. Центробежный дегидратор компании AAK относится к декантерному типу и называется на английском языке Decanter Centrifuge.

최근 원심분리기는 대규모 플랜트와 대기업 설비에도 적용가능하며 침전물 배출이 쉬운 ‘디켄터형’과 농축기용으로 개발된 직통형이 가장 많이 쓰입니다.
* Что такое декантер? Прибор для фильтрации осадка с узким длинным горлышком и широкой внутренней частью.

Обезвоживающие и обогатительные машины, используемые в различных отраслях промышленности, в основном представляют собой ленточные прессы, фильтр-прессы и машины нового поколения. обезвоживаниеосадка, А еще у вас есть самые современные центрифуги. В промышленности, где бы ни находился осадок, вам придется его обезвоживать, а это дорого, поэтому вам придется выбирать между традиционным способом, с использованием рабочей силы, и более эффективным способом, оправдывающим первоначальные инвестиции.
Однако в последние годы, особенно в зарубежных странах, предпочтение отдается центробежным дегидраторам благодаря их высокой эффективности. Несмотря на то, что инвестиционные затраты выше, чем у других дегидраторов, центробежные дегидраторы вытесняются. Это объясняется их высокой эффективностью и широким спектром применения. Также наблюдается тенденция к сокращению числа работников водоподготовки, что связано с вопросами безопасности. Это связано с тем, что процесс обработки осадка требует большого количества рабочей силы, а при наличии большого количества процессов доочистки также возникает большое количество трудовых потерь.
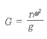
Хороший центробежный дегидратор или сепаратор - это тот, который обладает высокой центробежной эффективностью, G. Конечно, он должен быть механически прочным, но хороший центробежный эффект должен обеспечивать хорошую концентрацию и разделение.

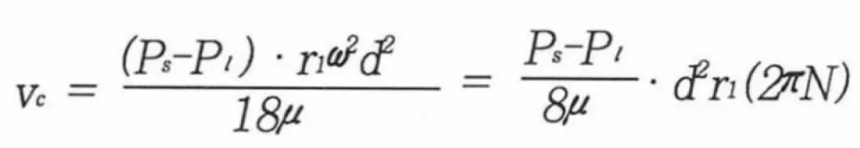
Вот формула теории осаждения Стокса, которая приводится на экзамене по технике водной среды.

Что такое центробежный эффект G?
Где Vc - конечная скорость оседания (отдельной частицы осадка), а G определяется как отношение искусственного центробежного ускорения, обусловленного вращательным движением, к ускорению силы тяжести (g).

Vc (скорость оседания в центробежном поле) переопределяется как Vg (скорость оседания в гравитационном поле), что означает, что даже частицы, которые не могут оседать в гравитационном поле, могут быть быстро отделены, если поддерживать гравитационное поле в G раз больше.

Центрифуги имеют очень широкий спектр применения по сравнению с другими дегидраторами. Грубо говоря, они делятся на следующие категории. Обезвоживание - для удаления воды, и концентрация - для концентрации и удаления определенных веществ.
Давайте рассмотрим различные области применения центробежных дегидраторов в различных отраслях промышленности.


Центрифуги обычно состоят из вращающейся чаши, винтового конвейера, привода и редуктора (передачи).
Он приводится в действие приводом, вращающим вращающийся ствол, и дифференциальным приводом, регулирующим скорость шнекового транспортера. Вращающийся ствол вращается с высокой скоростью, а шнековый транспортер в стволе вращается с несколько меньшей скоростью, т. е. приводится в действие двигателями, вращающимися с разной скоростью.
Вращение винтового конвейера регулируется дифференциальным приводом.

회전통(외통) – Bowl
Высокоскоростные вращающиеся детали, требующие сверхточной обработки, из различных прочных материалов.

Винт
Износостойкие материалы для вращения, воды и шлама. ARK использует карбид вольфрама, твердосплавные наконечники.

Редукторы (субмоторы)
ARK - это универсальный редуктор для регулировки скорости вращения центробежных дегидраторов, который прост в обслуживании.

Выход твердых частиц
Обезвоженные твердые частицы являются одним из основных источников загрязнения окружающей среды, поэтому для них требуется материал, устойчивый к истиранию. В ARK используется карбид в съемной керамике, что упрощает обслуживание.


Структура и рабочий механизм центробежного дегидратора описаны на основе модели ARK D-LM-NT декантерного типа. Производительность дегидратора представлена в соответствии со спецификацией модели, а внутренний диаметр чаши (внешнего цилиндра/вращающегося цилиндра) и внешний диаметр шнека выражены в пропорции, в то время как в моделях разработчика в основном выражен диаметр.
Выпускное отверстие для твердых частиц (№ 10) имеет неправильное значение радиуса по сравнению с выпускным отверстием для сепарационной жидкости (№ 8), и твердые частицы оседают на сухом пляже перед выгрузкой. Это способствует обезвоживанию.

Радиус выхода твердых частиц в (10) больше, чем радиус отдельного выхода в (8), поэтому сухого пляжа нет.
В это время устанавливается конусная пластина для предотвращения вытекания разделяющей жидкости вместе с твердыми частицами, а поскольку радиус выхода разделяющей жидкости меньше радиуса выхода твердых частиц, твердые частицы вблизи выхода твердых частиц оказываются под давлением жидкости, поэтому твердые частицы перемещаются с помощью шнекового конвейера и давления жидкости.

Центробежные дегидраторы имеют сухую буковую секцию, поскольку выгрузка твердых частиц без достаточного удаления воды затруднена, а центробежные концентраторы предназначены для быстрой выгрузки центрифугированных твердых частиц.
Именно поэтому центробежные обезвоживатели часто работают без введения химикатов, так как введение химикатов необходимо для превращения частиц осадка в твердый флок, а в центробежных концентраторах это не оправдано.

Дополнительная информация : https://www.scienceall.com/%EC%9B%90%EC%8B%AC%EB%B6%84%EB%A6%AC%EA%B8%B0centrifuge/