




데칸타 원심분리기는 대체 무엇일까요?
에이알케이가 제공하는 환경칼럼, 환경설비담당자 분들도 잊어버리기 쉬운 여러가지 용어와 개념을 되짚어보고 일반분들에게도 환경공학의 기초지식을 제공하고자 연재하는 콘텐츠 입니다.
원심탈수기의 국내 선봉장이자 베트남에 진출한 국내기업 중 유일하게 원심탈수기를 자체개발하는 회사로써 햇갈리기 쉬운 용어를 정리해드리고자 1편은 용어정리부터 들어갑니다.
그럼 시작해볼까요?
원심분리, 원심탈수, 원심농축, 대체 뭐가 뭐지?
최상위 개념 원심분리기, 그렇다면 탈수기와 농축기는 어떤 기준으로 분류하는가
먼저 원심이라는 단어부터 풀어서 이해하셔야 합니다.
물리학 용어에서 말하는 원심력은 회전하는 계에서 나타나는 힘으로 ‘실존하는 구심력’과 크기가 같고 방향이 반대입니다. 하지만 이 둘은 작용 반작용 관계는 아니라고 합니다. 보통, 세탁기를 떠올리면 가장 쉽게 이해가 가능한데 회전운동력에 의해 물이 탈수되는 현상은 원심력을 이용합니다.
고체-액체 / 액체-액체의 현탁액<->부유액을 분리. 1번과 2번이 해당합니다.
① 고체-액체
② 액체-액체
③ 고체-기체
④ 액체-기체
⑤ 기체-기체
원심분리기는 가장 포괄적인 개념으로 목적에 따라 침강목적일 경우 농축기, 탈수의 목적일 경우 탈수기로 분리되며 작동 메커니즘에 따라 회분식-연속식으로 나뉘며 분리판형과 바스켓형,직통형, 디켄터형으로 다시 분류됩니다. 에이알케이의 원심탈수기는 디켄터형으로 영문으로는 Decanter Centrifuge로 명명합니다.

최근 원심분리기는 대규모 플랜트와 대기업 설비에도 적용가능하며 침전물 배출이 쉬운 ‘디켄터형’과 농축기용으로 개발된 직통형이 가장 많이 쓰입니다.
※ Decanter란? 침전물을 걸러내는 도구로 입구는 좁고 길며 내부는 넓은 구조를 가지는 도구입니다.

각 산업분야의 다양한 방면에 쓰이는 탈수,농축기는 크게 전세대의 벨트프레스, 필터프레스와 차세대형 Screw-press, 그리고 가장 현대적인 원심분리기가 있습니다. 산업계는 현장마다 슬러지를 배출하는 현장에선 탈수라는 작업을 하게 되는데요. 그 처리.비용이 부담이 되기 때문에 전통적인 방식을 써서 인력을 써서 처리를 할 것이냐 좀 더 고효율로 가서 초기투자비를 감당할 것이냐 하는 선택의 기로도 있습니다.
하지만 요근래 특히 외국에선 고효율의 원심 탈수기를 선호하는 추세입니다. 투자비용이 다른 탈수기에 비해 높아도 원심탈수기로 대체되고 있습니다. 효율이 높기 때문이며 적용가능 범위가 넓기 때문입니다. 수처리 인력자체가 점점 줄어드는 추세와 안전문제와도 연관되어 있습니다. 슬러지를 처리하는 과정에서 인력들이 해야할 일이 많아지고 후처리 공정이 많다면 이또한 인력낭비가 많아지기 때문입니다.
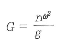
원심력은 원심효과G라는 지표가 큰 것이 좋은 원심탈수기 혹은 분리기임을 뜻합니다. 물론, 기계적인 완성도도 뒷받침돼야 하지만 좋은 원심력의 효과를 가져야 그만큼 농축,분리에도 탁월하겠죠?

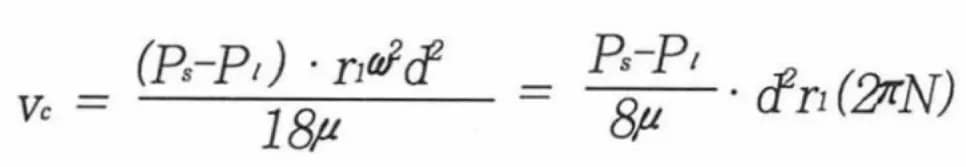
여기에는 수질환경기사 시험에 등장하는 스토크의 침강이론에 대한 공식이 있습니다.

※원심효과 G란?
여기서 Vc는 종말 침강속도(슬러지 단일 입자)를 뜻하며, 회전운동에 의한 인공적 원심 가속도와 중력 가속도(g)의 비를 G라 정의합니다.

Vc(원심력장의 침강속도)는 다른 공식으로 재정의하면 Vg(중력장에서 침강속도)는 중력장의 G배를 유지해 중력침강이 불가능한 미립자도 빠른 시간내 분리가능함을 뜻합니다.

원심분리기의 적용가능 분야는 다른 탈수기에 비해 매우 넓은 스펙트럼을 가집니다. 대략적인 사용분야는 아래와 같이 분류됩니다. 물을 빼내는 탈수의 목적도 있고 특정 물질을 농축해 빼내는 농축의 목적도 있습니다.
그럼 여러 산업분야에 활용되는 원심탈수기의 용도분류를 보실까요?


원심분리기는 일반적으로 회전통( Bowl), 스크류컨베이어(Screw conveyor), 구동장치, 기어박스(변속기)를 주축으로 구성.
회전통을 회전시키는 구동장치와 스크류 컨베이어의 회전수를 조절하는 차동 구동장치로 구동됩니다. 회전통은 고속회전하며 회전통내의 스크류 컨베이어는 조금 느린 속도로 회전합니다. 즉, 서로 다른 속도로 회전하는 모터로 구동됩니다.
이때 스크류 컨베이어의 회전은 차동 구동 장치가 조절합니다.

회전통(외통) – Bowl
: 고속회전하는 부위로 견고하고 다양한 재질로 초정밀 가공을 요합니다.

스크류(Screw)
: 회전과 물, 슬러지에도 강한 마모 대응가능한 재질을 사용합니다. ARK는 텅스턴 카바이트, 초경팁을 사용합니다.

감속기어(서브모터)
: 원심탈수기의 회전속도를 조절하기 위한 감속기어 장치로 ARK는 범용감속기로 유지보수가 편리합니다.

고형물 배출구
: 탈수된 고형물은 환경오염의 주범이 되는 것으로 이에 대응하는 마모에 강한 재질이 필요합니다. ARK는 장탈식 세라믹의 초경을 사용해 유지보수가 편리합니다.


원심탈수기의 구조와 작동 메커니즘은 Decanter형의 ARK D-LM-NT 모델을 기준으로 설명했습니다. 탈수기는 모델 제원별 용량을 제시하며 BOWL(외통/회전통)의 내부지름과 스크류의 외부 직경은 비.례하고 개발사의 모델들은 대부분 직.경으로 표시하고 있습니다.
: (10번) 고형물 배출구는 (8번) 분리액 배출구와 반지름 값이 틀리며 고형물이 반출되기전 드라이 비치부에 안착됩니다. 여기에서 탈수가 촉진됩니다.

: (10번) 고형물 출구 반지름이 (8번) 분리액 출구 반지름보다 커 드라이 비치부가 없습니다.
이때 분리액이 고형물과 함께 유출되지 않도록 원추판을 붙이기도 하며 분리액 출구 반지름이 고형물 출구 반지름보다 적으므로 고형물 출구 부근의 고형물은 액압으로 눌려지게 되기에 고형물의 반송은 스크류 컨베이어와 액압으로 이뤄집니다.

원심 탈수기는 수분을 충분히 제거하지 않으면 고형물의 배출이 어려운 구조로 되어 있기에 드라이비치부를 두며 원심 농축기는 원심 분리된 고형물을 빨리 배출할 수 있는 구조로 되어 있습니다.
때문에 원심 탈수기는 약품 주입으로 슬러지 입자를 견고한 플록으로 만들 필요성이 있고 원심 농축기는 이럴 당위성이 없으므로 약품을 주입하지 않고 구동하는 경우가 많습니다.

더 많은 정보 : https://www.scienceall.com/%EC%9B%90%EC%8B%AC%EB%B6%84%EB%A6%AC%EA%B8%B0centrifuge/